地下水渗流对地埋管换热性能影响研究—以郑州市中牟试验场地为例
师永霞 许一川
(河南省地质局生态环境地质服务中心 河南郑州 450011)
摘要:通过系统研究典型地下水渗流场对地埋管换热能力及其周围地层温度场的影响,从而提出与渗流工况相匹配的换热孔最佳布设方案,为地埋管地源热泵系统工程的设计、施工和运行提供更加有力的技术支撑。
关键词:渗流 地埋管 数值模拟 温度场
1、引言
地埋管地源热泵系统在运行过程中,地埋管换热器周围岩土体大部分都位于含水层中,地下水的渗流对地埋管换热器同周围岩土的换热过程产生较大的影响。因此,有必要将地下水渗流因素对地埋管换热性进行深入地研究分析,从而提出与渗流工况相匹配的地埋管换热孔布设方案。
2、地埋管换热器传热模型的建立
2.1数学模型
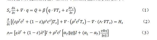
本次数值模拟软件采用Feflow软件,地埋管换热器采用一维有限元法进行刻画,周围的岩土体采用三维有限元的处理方法。热量传输主要包括岩土体中热量传输和井孔热量传输。岩土体中热量传输控制方程为如下:

式中:s—储水系数,无量纲;
f —表示液体;
s—表示土壤;
h —水头(m);
Q—流量(m3 /s);
β—热膨胀系数(℃-1);
q—达西流速(m/s);
▽—矢量微分算子;
T—温度(℃);
ε—孔隙度;
ρ—密度(kg/m3);
c—比热容(J/(kg·℃));
H—热量源汇项(W/m);
λ—热导率(W/(m·℃));
αL—纵向热弥散度(m);
αT—横向热弥散度(m);
I—单位特征矩阵。
双U形管(2U)换热器分为8个热交换区(图 21):2个进管区(i1和i2),2个出管区(o1和o2),4个回填材料区(g1、g2、g3、g4)。其中Rfig为流体和进管管壁的热阻、Rfog为流体和出管管壁的热阻、Rgg为两管之间热阻、Rgs为回填料与岩土体的热阻。
来源:《中国地热》2023年10月刊
原文下载:
地下水渗流对地埋管换热性能影响研究—以郑州市中牟试验场地为例.rar







